您的位置: 首页 > 最新资讯 > 光伏EVA胶膜易老化?抗氧剂、光稳定剂作用巨大! >
太阳能作为一种清洁高效,绿色环保的可再生资源而受到了广泛重视。

本文以醋酸含量为28%的EVA和稀土配合物发光材料为主要原料,以抗紫外吸收剂,抗氧剂为光老化助剂制备了太阳能光伏膜,研究其制备工艺和各种理化性能。

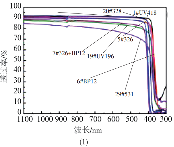
图1(1)老化前抗紫外吸收剂对新型太阳能光伏膜透光率的影响图
0#试样是无紫外吸收剂的空白试样。通过对0#空白试样进行对比可以看出,添加了抗紫外吸收剂的EVA薄膜对300~400nm的紫外线均有吸收。
将吸收最明显的加了紫外吸收剂326的5#试样和加了紫外吸收剂BP12的6#试样进行复配实验,由图可以看出复配后的7#试样对紫外线吸收更加明显,可以得知326和BP12对300~400nm紫外线吸收具有协同作用。

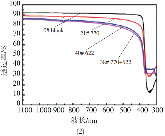
图1(2)老化前光稳定剂对新型太阳能光伏膜透光率的影响图
通过对0#空白试样进行对比可以看出,添加了光稳定剂770和622的EVA薄膜对300~400nm的紫外线均有促进透过作用,并且发现添加了光稳定剂622的EVA薄膜对300~400nm的紫外线的促进透过作用在图中有一个“平台”,即添加了光稳定剂622的EVA薄膜对紫外线的透过波长从311nm到371nm的区间里紫外线的透过率有且只有35%。
将对紫外线有促进透过作用的加了光稳定剂770的21#试样和加了光稳定剂622的40#试样进行了复配实验。由图可以看出复配后的38#试样对300~400nm的紫外线的促进透过作用在图中也有一个“平台”,即复配光稳定剂622和770的EVA薄膜对紫外线的透过波长从300~371nm的区间里紫外线的透过率有且只有31%。
所有加了光稳定剂的试样与0#空白试样对比可以看出光稳定剂均能促进紫外线透过,因为由图可以看出在300~400nm紫外线处复配光稳定剂770和622的EVA薄膜明显比没加光稳定剂的薄膜紫外线透过率更高。

图1(3)老化前抗氧剂对新型太阳能光伏膜透光率的影响
通过对0#空白试样进行对比可以看出,添加了抗氧剂1010,168的EVA薄膜对300~400nm的紫外线均有促进透过作用,只有加了抗氧剂1076的EVA薄膜对300~400nm的紫外线透过率与未加抗氧剂的EVA薄膜对300~400nm的紫外线透过率持平。
将加了抗氧剂1010的22#试样和加了抗氧剂1076的2#试样进行了复配实验,由图可以看出复配后的27#试样对紫外线的透过率要比只加抗氧剂1010,1076的EVA薄膜对紫外线的透过率要高。
紫外加速老化700h后, 抗紫外吸收剂对新型太阳能光伏膜透光率的影响

图1(4)紫外加速老化700h后抗紫外吸收剂对新型太阳能光伏膜透光率的影响
由于经过紫外加速老化700h后添加各种紫外吸收剂的试样均已发生黄变无法测得透光率,只有1#试样勉强测得了透光率,测得结果如图所示。
通过对0#空白试样进行对比可以看出,添加了紫外吸收剂UV418的EVA薄膜对300~400nm的紫外线仍然具有吸收作用。
紫外加速老化700h后, 光稳定剂对新型太阳能光伏膜透光率的影响

图1(5)紫外加速老化700h后光稳定剂对新型太阳能光伏膜透光率的影响
由图可以看出添加了光稳定剂的试样在紫外加速老化700h后仍然具有良好的透光率。说明光稳定剂能有效阻止EVA薄膜的紫外老化。
紫外加速老化700h后, 抗氧剂对新型太阳能光伏膜透光率的影响
图1(6)紫外加速老化700h后抗氧剂对新型太阳能光伏膜透光率的影响
由图可以看出通过复配抗氧剂1010和1076的试样在紫外加速老化700h后仍然具有良好的透光率。说明复配抗氧剂1010和1076能有效阻止EVA薄膜的紫外老化。
紫外加速老化后, 抗紫外吸收剂对新型太阳能光伏膜量子产率的影响

图2(1)紫外加速老化对添加了抗紫外吸收剂的新型太阳能光伏膜量子产率的影响
由图可知,紫外吸收剂均不能有效阻止EVA薄膜量子产率的降低。紫外加速老化1000h后添加了UV418紫外吸收剂的EVA薄膜量子产率降低到60%。紫外加速老化700h后添加了531紫外吸收剂的EVA薄膜量子产率降低到8%。
紫外加速老化后, 光稳定剂对新型太阳能光伏膜量子产率的影响

图2(2)紫外加速老化对添加了光稳定剂的新型太阳能光伏膜量子产率的影响
由图可知,光稳定剂能有效阻止EVA薄膜量子产率的降低。紫外加速老化1000h后,添加了622光稳定剂的EVA薄膜量子产率几乎不下降。由图可以看出复配光稳定剂622和光稳定剂770的38#试样在紫外加速老化1000h后,EVA薄膜量子产率几乎不下降。
紫外加速老化后, 抗氧剂对新型太阳能光伏膜量子产率的影响

图2(3)紫外加速老化对添加了抗氧剂的新型太阳能光伏膜量子产率的影响
由图2(3)可以看出复配抗氧剂1010和抗氧剂1076的27#试样在紫外加速老化1000h后,EVA薄膜量子产率几乎不下降,依然保持稳定。
老化前, 复配光稳定剂和抗氧剂对新型太阳能光伏膜透光率的影响

图2(4)老化前复配光稳定剂和抗氧剂对新型太阳能光伏膜透光率的影响
由图2(4)可以看出复配光稳定剂770、光稳定剂622、抗氧剂1010、抗氧剂1076对300~400nm的紫外线均有促进透过作用。
紫外加速老化700h后, 复配光稳定剂和抗氧剂对新型太阳能光伏膜透光率的影响

图2(5)紫外加速老化700h后复配光稳定剂和抗氧剂对新型太阳能光伏膜透光率的影响
由图2(5)可以看出复配光稳定剂770、光稳定剂622、抗氧剂1010、抗氧剂1076的41#、42#、43#试样在紫外加速老化700h后EVA薄膜透光率保持稳定。
紫外加速老化, 复配光稳定剂和抗氧剂对新型太阳能光伏膜量子产率的影响

图2(6)紫外加速老化对复配光稳定剂和抗氧剂的新型太阳能光伏膜量子产率的影响
由图2(6)可知,复配光稳定剂770、光稳定剂622、抗氧剂1010、抗氧剂1076的41#、42#、43#试样在紫外加速老化1000h后EVA薄膜量子产率几乎不下降,依然保持稳定。
抗紫外吸收剂能有效吸收透过新型太阳能光伏膜的紫外光。 光稳定剂能有效促进紫外线的透过作用,光稳定剂能有效阻止EVA薄膜的紫外老化。 抗氧剂能促进紫外线的透过作用,复配抗氧剂能有效阻止EVA薄膜的紫外老化。 复配抗氧剂,光稳定剂能有效阻止EVA薄膜的紫外老化。