您的位置: 首页 > 最新资讯 > 聚丁二酸丁二醇酯(PBS)的合成工艺 >

PBS
PBS是一种
由丁二醇和丁二酸合成的
线性脂肪族聚酯,是种
新型热塑性生物可降解塑料。

高分子材料给人们的生活带来了前所未有的便利,已经同木材、钢铁和水泥并列为四大支柱材料。但是传统的高分子材料被广泛应用的同时,也产生了大量的白色垃圾,这些塑料垃圾往往难以降解且回收困难,带来了严重的环境污染问题,给生态环境造成了极大的危害和压力,威胁着人类的身体健康。

随着国家限塑令和禁塑令的实施,可生物降静材料在包装材料中发挥着更重要的作用,已占塑料制品的60%。可生物降解聚材料由于其良好的生物降解性和经济性,而越来越受到科研人员的重视,其中聚丁二酸丁二醇酯(PBS)在我国的市场发展潜力巨大,因为其较高的熔点和优异的热塑性加工性能,被广泛应用于一次性餐具、包装、及农膜等领域。





PBS 的合成方法主要有两种,分别为化学聚合法和生物酶聚合法。目前,由于生物酶聚合法的合成成本高、产物的分子质量较低、难以控制合成条件等原因,近期尚未得到广泛应用。



主要采用自然界中存在的生物质原料通过生物发酵的方法转化成生物质单体,然后合成聚丁二酸丁二醇酯(PBS)。其原料可完全由生物发酵获得,如丁二酸作为三羧酸循环的中间代谢产物,其主要的生产菌株是大肠杆菌;并且另一种单体原料1,4-丁二醇也可以通过生物质的发酵来进行生产制造。总体来说,以生物发酵为特征的生物酶聚合法具有反应条件温和、污染小等优点,并且循环利用率较高,减少了碳排放,但此种方法的工艺过程比较复杂,生产的成本较高,不利于大规模推广。


1
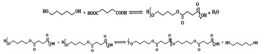
直接酯化法是由丁二酸和丁二醇直接聚合而不经过链扩张的过程,其方法可以描述为: 在温度较低的反应条件下将二元醇与二元酸进行酯化,其中二元醇过量添加以保证合成端炭基预聚物,然后在高温、高真空条件下经催化剂的作用脱去二元醇,得到PBS聚酯产物。其反应方程式如图:

2
酯交换法也可以说是最早应用于合成PBS的方法之一。在酯交换法合成PBS的过程中,由1,4-丁二醇与丁二酸二甲酯或丁二酸二乙酯在催化剂的条件下通过熔融聚合来合成PBS。其反应过程分为酯交换过程和聚合过程两步:第一步酯交换过程是在惰性气体环境中(通常为氮气)。在150-190℃条件下进行酯交换反应。待反应完全后,除去体系中的水和甲醇,然后进行第二步缩聚反应,在200℃高温、高真空的环境下进行聚合反应。酯交换法合成的PBS其相对分子质量可达到5.95x105。利用酯交换法合成PBS的反应过程如图:

3
扩链法是一种通过扩链剂在短时间内大幅度提高聚合物相对分子质量的方法,合成示意图如下图所示。因为在直接酯化或者酯交换法后期都需要不断地脱出小分子从而保证反应向正方向进行。但是在缩聚后期,反应温度通常比较高,会发生一些脱羧、热降解等副反应从而影响产物的分子质量和色泽。采用扩链剂的优点是可以在短时间内大幅度提高相对分子质量,产品具有分子质量高、色泽好等优点,因此受到国内外的广泛关注。

近年来,随着人们环保意识的不断增强和国家
“十四五”规划战略及新版“限塑令”的推动,
可降解生物塑料PBS由于综合性能优异,
越来越受人们关注。



[1]吕学东,罗发亮,林海涛,宋丹青,刘义,牛瑞雪,郑柳春.聚丁二酸丁二醇酯的合成工艺及气体阻隔性最新进展[J].化工进展,2023,42(05):2546-2554.
[2]程建斌.PBS复合材料的制备及其性能研究[D].导师:任亮.长春工业大学,2023.
[3]徐文佳,王明亮,王天龙.聚丁二酸丁二醇酯的合成与表征[J].合成化学:1-9.
[4]杜树清,张鑫,崔峥嵘等.聚丁二酸丁二醇酯(PBS)的合成工艺及其产业现状浅析[J].聚酯工业,2023,36(02):1-4.
[5]高文豪,朱晓亮,曲冬蕾等.开环法合成高品质PBS的工艺研究[J].塑料工业,2023,51(07):38-43.
免责声明:部分资料来源于网络,转载的目的在于传递更多信息及分享,并不意味着赞同其观点或证实其真实性,也不构成其他建议。仅供交流,不为其版权负责。如涉版权,请联系我们及时修改或删除。